Old Bega Hospital Reserve Trust and Reserve Land Manager - Previous Board members
The Old Bega Hospital Commitee was appointed Trustee from 30 March 1990 to 2 June 1994. The membership of the Committee during that period is not known. Since then, individual members have been appointed to the Old Bega Hospital (R.180050) Reserve Trust and its successor, the Old Bega Hospital Reserve Land Manager.
Ray Barnett was appointed 3 Jun 1994 to 31 May 1998
Gordon Beattie appointed 13 Dec 2019 to Dec 2024, reappointed to Dec 2029
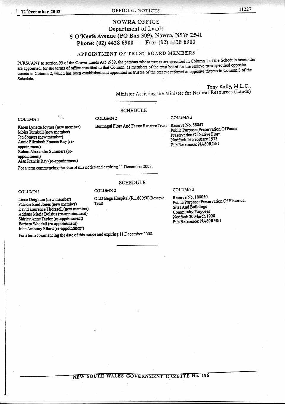
Adriana Bolsius was appointed ?1998 to Dec 2003, reappointed to Dec 2008
Richard Bomford was appointed Dec 2014 to Dec 2019, and reappointed to Dec 2024
Linda Deighton was appointed 12 Dec 2003 to 11 Dec 2008
Geoff Doyle was appointed prior to 2008, reappointed to Dec 2013
Jay Ellard was appointed 3 Jun 1994 to 31 May 1998, reappointed to 2003, reappointed to 2008, reappointed to 2013, reappointed to Dec 2019, reappointed to Dec 2024, reappointed to Dec 2029. Secretary for many years
John Fuary was appointed 12 Dec 2008 to 11 Dec 2013
Susan Harper was appointed 3 Jun 1994 to 31 May 1998
Pat Jones was appointed 12 Dec 2003 to 11 Dec 2008, reappointed to 2013, reappointed to Dec 2019, reappointed to Dec 2024, Chair for many years
Claire Lupton was appointed 12 Dec 2008 to Dec 2013, reappointed to Dec 2019, reappointed to Dec 2024
Eric Myers, appointed 13 Dec 2019 to Dec 2024. Chair in 2024
Jenny Mein was appointed 3 Jun 1994 to 31 May 1998
Warren Page was appointed Dec 2014 to Dec 2019
Lee Pemberton was appointed 13 Dec 2024, retired 2025
John Reynolds was appointed Dec 2014 to Dec 2019, reappointed to Dec 2024, reappointed to Dec 2029, retired 2025. Treasurer for many years
David Stocker was appointed Dec 2014 to Dec 2019
Shirley Taylor was appointed 3 Jun 1994 to 31 May 1998, reappointed to 2003, reappointed to 11 Dec 2008
David Thorssell was appointed 12 Dec 2003 to 11 Dec 2008
Barbara Waddell was appointed 3 Jun 1994 to 31 May 1998, reappointed to 2003, reappointed to 11 Dec 2008. Secretary for 10 years
and possibly others
